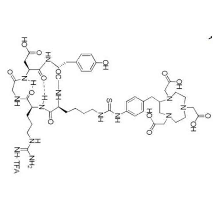
NOTA-cyclic RGDyK,NOTA衍生物,NOTA标记多肽试剂
中文名:NOTA-cyclic RGDyK
分子式:C47H67N13O14S . CF3CO2H
分子量:1184.18
纯度:98%
供应商:西安凯新生物科技有限公司
结构式:

NOTA-cyclic RGDyK ,凯新生物
其他产品列表:
NOTAM 180297-76-1
DOTAEt 137076-50-7
Mono-N-benzyl-TACD 174192-34-8
TriBOC-Cyclam 170161-27-0
trans-N-Dibenzyl-Cyclam 214078-93-0
Oxocyclam 85828-26-8
Dioxocyclam 329913-14-6
Formaldehyde-Cyclam 75920-10-4
Mono-N-Benzyl-Cyclam 132723-93-4
Mono-N-Benzyl-TACN 174912-95-9
trans-N-Dibenzyl-Cyclen 156970-79-5
Mono-N-Benzyl-Cyclen 112193-83-6
cis-Glyoxal-Cyclen 79236-92-3
1,7-Dioxa-4,10-diazacyclododecane 294-92-8
TACD 294-80-4
(13)aneN4 295-14-7





评论