干货分享:港股证券产品,业务功能如何实现?
编辑导语:证券类产品的业务功能,应该如何实现?也许在产品设计中,你会涉及到账户、行情、交易、资金等模块上的功能设计。本篇文章里,作者结合一定案例,对证券产品的功能实现进行了总结,一起来看一下。
编辑导语:证券类产品的业务功能,应该如何实现?也许在产品设计中,你会涉及到账户、行情、交易、资金等模块上的功能设计。本篇文章里,作者结合一定案例,对证券产品的功能实现进行了总结,一起来看一下。

前两章已分享了港股合规和业务相关的内容,本章主要对产品的账户开通、股票/基金/衍生品交易、资金数据流和行情接入的功能模块进行拆解,希望可以给各位带来一定的帮助。
2022年港股经历了两个季度后,恒生指数稳定在20000点以上,恒生科技指数也稳定在4500点左右。港股的投资价值已再度逐步显现,考虑到有利的政策环境、较低的估值水平和中概股逐渐以不同形式回归港股,港股市场已经具备中长期配置价值。
在当前的港股寒冬期内,有不少内地的香港券商选择结业或打包售卖牌照,同时一些有大量现金流的传统企业在今年开始布局港美股业务,行业竞争将越来越激烈。另外《客户唯一编码制度》的落实,严格限制了多账户打新的方式,因此除了产品功能的不断迭代,还需深入研究业务的拓展和延伸,重视客户的活跃和留存。
本章除了会对已上线的产品功能模块进行详细阐述,同时还会分享开户和入金相关业务的拓展,毕竟协助客户合规的完成入金,在平台进行活跃的交易才能使各个功能板块体现更多的价值。

展开全文
一、线上开户 1. 第三方对接资源
身份证OCR、身份证二要素校验;
银行卡OCR、银行卡四要素校验;
活体检测(H5或SDK);
CA证书和电子合同签署,由深圳CA或广东CA签发。
由于线上开户流程需要填写和上传的资料较多,此处主要针对活体检测、防洗钱认证、CA证书、柜台同步的功能进行详细的阐述:
1)活体检测的阀值
阀值是影响客户在开户时能否顺利通过的标准之一。券商可根据自身的客户群体要求第三方调整阀值,如客户是有进行过牙齿矫正或脸型微整,在合理的阀值内活体检测一般很少能通过,这时更多的需要进行人工审核。PS:阀值建议在0.5~0.6
活体检测在不同的使用场景下会影响到阀值,导致活体检测不通过;根据过往的经验,主要有以下几个场景需进行提示或人工介入:
牙齿矫正、脸型微整等,解决方案为人工审核;
当前身份证照片与公安系统备份不一致,解决方案为人工审核;
背光拍摄,解决方案为给出对应的提示和指引;
非本人或非真人拍摄,解决方案为给出对应的提示和指引。

2)防洗钱认证
根据香港证监会防洗钱相关条例,金融机构须遵守的尽职审查及备存纪录规定,因此防洗钱认证是客户开户审核的重要环节之一,券商可根据客户开户数据决定采用第三方的人工查询或API接入,本章的防洗钱认证以DOW JONES为例进行说明。
DOW JONES 人工查询:
适用阶段:项目初期,审核人员较少,每日开户数量较少。
优势:成本较低,仅收取一定的账户费和查询费。
劣势:效率较低,需登录第三方系统进行查询和下载防洗钱报告,通过人工与其他开户资料整合到一起。
DOW JONES API接入:
适用阶段:项目处于高速或稳定增长期,每日开户已达到一定数量。
优势:自动生成防洗钱报告且与其他开户资料合并成一份,自动存储至券商服务器内。
劣势:成本较高,分基础套餐和高级套餐,以年费收取;每次通过API只能发送一个查询请求,发送多个并发查询请求则会被第三方拒绝。
PS:根据香港证监会防洗钱相关条例,普通客户至少每半年或每年进行一次防洗钱信息的更新,特殊客户根据实际情况定期进行更新。

3)CA证书的生成
在《港股证券产品,合规怎么做?》已提到中国大陆客户开户的相关KYC认证必须通过深圳CA或广东CA的认证流程且认证通过后才会颁布两地认可的CA证书,而这两家CA机构的单次校验成本不低(校验失败也需收费),因此如需控制成本的情况下,建议券商可采取以下的配置方案:
身份证二要素、银行卡四要素:采用合规且准确性高的第三方校验平台,比如商汤、旷视等。
活体检测:采用深圳CA或广东CA。
以深圳CA的静默活体检测为例,活体检测通过后,CA证书95%以上都是可以成功申请下来,具体数据交互流程请查看下图。
PS:成功获取到CA证书后,后台必须在15分钟内完成电子合同的签署,否则超时证书即失效。

4)Ayers柜台同步
在业务后台成功开户后,后台生成客户交易账号,通过Ayers BOS的 IODB API 自动把客户交易账号和个人资料推到BOS内,完成客户建档。但IODB API 是一个单向通道,如在Ayers BOS内修改了某些客户个人资料,Ayers是不会返回给业务后台,需通过业务后台主动获取。
同步客户信息至Ayers BOS内进行客户建档,整个同步流程最麻烦的是所有数据字段和长度必须满足IODB API的相关要求,否则客户的某些资料会出现乱码或报错。比如银行名称、国家/地区等必须使用BOS的英文简称,因此在建档前后台就需要对部分字段进行转化的处理工作。
3. 交易账户类型
股票现金交易账户与融资交易账户需签署的合同文件不一致,因此后台需根据客户选择的账户类型生成不同的合同文件组,并且现金交易账户需支持升级至融资交易账户;由于基金账户属于财富管理模块,一般在股票账户开通后,再引导单独开通的方式,支持基金开户合同和个人风险评估能力问卷的签署。
1)股票现金/融资交易账户
依据Ayers交易系统,现金交易账户中的资金全部是自有资金,融资交易账户的重要指标包含最大购买力、可用贷款、按揭价值、保证金比例和追缴保证金,而且融资账户是后续开通统一购买力和日内融交易的前提条件。
融资交易账户的重要指标:
最大购买力 =(现金结余+按揭价值+购买力限额)- 已用购买力,购买力限额在后台进行设置
可用贷款 = (现金结余+贷款限额)- 已用额度,券商根据客户现金情况提供的一种信用贷款额度,不同于持仓的抵押股票
按揭价值:按持仓股票的抵押率对持仓市值进行折算,股票抵押率在后台进行设置
保证金比例 =(按揭价值/欠款金额)*100%,该值<100%时将产生追缴保证金
追缴保证金:产生欠款时需要存入的最少现金,如保证金比例未恢复至安全状态,将面临被强制平仓的风险
2)基金交易账户
温馨提示:本文阐述的基金交易主要是香港或海外的基金,不包含国内的基金。
由于Ayers系统不支持基金交易,因此券商可选择自己与各家基金公司进行对接或接入一个已集成的第三方机构。通过调研得出,在基金业务初期,券商接入第三方机构成本相对较低且上线时间相对可控。
以我们接入的第三方iFAST为例,公司账户为母账户,客户账户为子账户;由于iFAST仅是一个基金订单转发的角色,不提供后台管理系统,因此券商需对客户的开户情况、基金申购/赎回订单、资金流水等进行统一的管理,方便财务进行对账。
如接入iFAST,券商需准备的物料和功能模块:
基金开户协议、个人风险承受能力问卷;
客户个人资料;
基金管理后台(客户信息、基金品种、基金订单、基金交易流水、基金持仓等);
股票账户与基金账户的资金数据流;
客户日结单/月结单。

PS:关于基金交易和交易账户间的资金数据流在下文进行阐述。
二、统一购买力账户
统一购买力是系统通过统一评估客户在各市场(港美A)所拥有的现金、股票、货币基金资产,合计计算出一个最大购买力,可在任意开通了融资账户的市场使用。其中,系统统一评估的范围为客户的融资账户和基金账户。
统一购买力业务与普通融资业务一样,已开通融资账户的客户,仅需在指定页面进行简单确认即完成统一购买力的开通。开通后根据各市场股票账户的最大购买力进行合计和汇率换算,在客户进行下单交易时计算最大可买入的股数,如客户下单超过了现金可买数量且使用了统一购买力,则系统次日起开始计息。
统一购买力的货币基金资产按持仓市值的95%进行折算增加,在每个港股交易日收市后,后台系统将根据股票账户的欠款从基金账户执行自动赎回相应净值的货币基金。
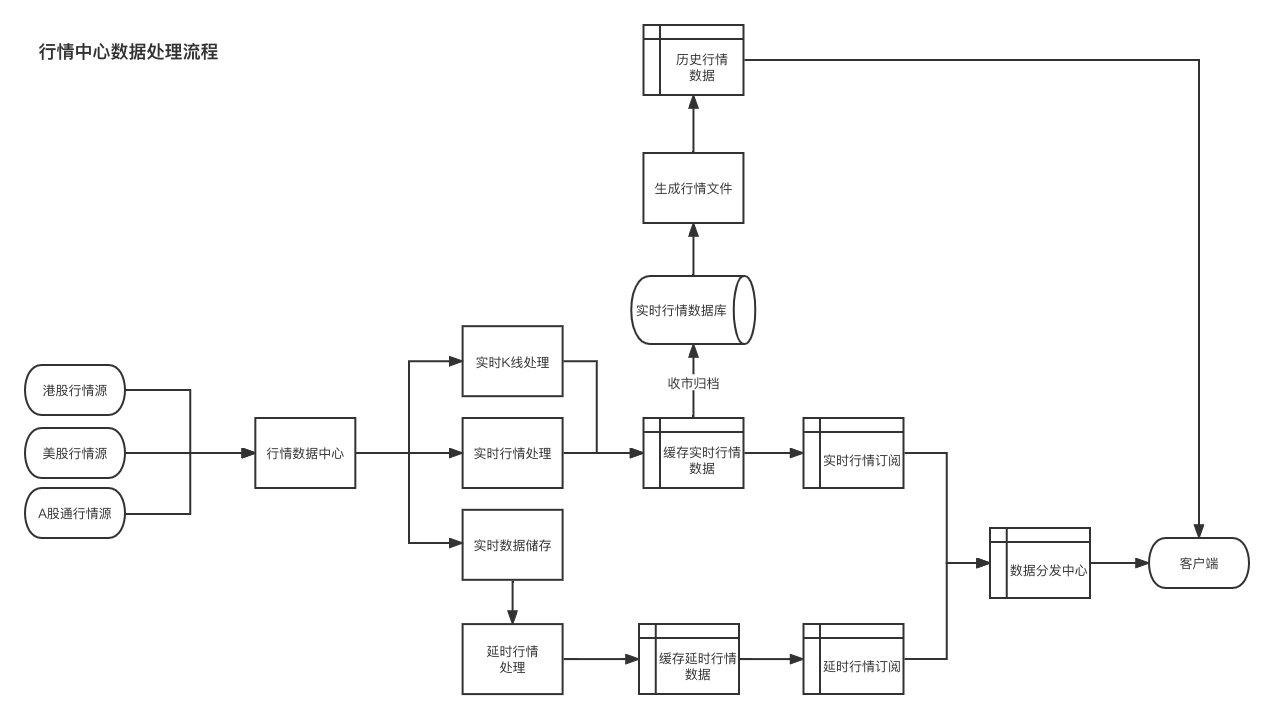
三、行情数据的处理
第二章《港股证券产品,如何开展业务?》已阐述了正股市场数据字段的计算和报价类型,本章补充说明下港股窝轮/牛熊证的市场数据字段和行情中心数据处理流程:
1. 窝轮/牛熊证的基础字段计算
换股价 = 每股窝轮/牛熊证的价格 * 换股比率
杠杆比率 = 相关资产最新价(标的股票的最新价)/(窝轮/牛熊证最新价×换股比率)
溢价(%):
窝轮认购证/牛证溢价=(认购证/牛证最新价×换股比率+行使价-相关资产最新价)/相关资产最新价×100%
窝轮认沽证/熊证溢价=(认沽证/熊证最新价×换股比率-行使价+相关资产最新价)/相关资产最新价×100%
街货比(%) = 街货量/发行量×100%
打和点:
窝轮认购证/牛证打和点 = 行使价+(认购证/牛证最新价×换股比率)
窝轮认沽证/熊证打和点 = 行使价-(认沽证/熊证最新价×换股比率)
窝轮认购证/牛证溢价=(认购证/牛证最新价×换股比率+行使价-相关资产最新价)/相关资产最新价×100%
窝轮认沽证/熊证溢价=(认沽证/熊证最新价×换股比率-行使价+相关资产最新价)/相关资产最新价×100%
窝轮认购证/牛证打和点 = 行使价+(认购证/牛证最新价×换股比率)
窝轮认沽证/熊证打和点 = 行使价-(认沽证/熊证最新价×换股比率)
有效杠杆 = [相关资产最新价(标的股票的最新价)/(窝轮最新价×换股比率)]×对冲值
距收回价(%)=(牛熊证相关资产最新价-收回价)/收回价 ×100%
价内价位 = (牛熊证相关资产最新价 – 行使价)/行使价 ×100%

实时行情通过行情数据中心处理和存储后,由数据分发中心进行管理和控制,数据分发中心包括行情管理、连接管理和业务处理三个模块:
第二章《港股证券产品,如何开展业务?》已阐述了融资认购、暗盘交易和市场交收的内容,而港美股的各个订单类型在港交所可以查看到更加标准的阐述,因此本章主要补充说明下港股竞价单和碎股单的主要问题。
港股竞价单包含竞价市价单和竞价限价单,也也分早市竞价和收市竞价。早市竞价在09:15后所有竞价单不可更改或取消,收市竞价则在16:06后不可更改或取消。如券商对接了Ayers GTS则会与交易所有所差异:
港股盘中未成交的限价单,不支持自动转成盘后竞价限价单,在16:30分执行系统撤单;
港股早市竞价时间段的未成交竞价单,不支持自动转成盘中的限价单,在09:30分执行系统撤单。
碎股是不足一手的股票,不能通过港交所自动对盘系统成交,需券商在港交所专门的碎股场内进行人工撮合成交。而对于赠送出去的碎股且客户选择卖出时,券商可根据实际情况选择自己收或提交到碎股场。

PS:碎股订单成交后按正股的收费方式(佣金、平台使用费、代收税费等),客户在客户端买入/卖出的委托价格不可以偏离市价的5%。
2. 基金申购/赎回

由于Ayers与iFAST属于两个独立的第三方系统,双方的客户数据和资金数据无法互通,因此需业务后台在中间承担订单管理和资金管理的角色,下面会阐述这两个核心模块需要承担的业务功能。
基金订单管理主要的业务处理流程为确认订单和合并订单:
确认订单:不同于国内基金,iFAST在港股交易日14:30截止收单,因此券商的截止时间应早于iFAST的截止时间;iFAST在14:30只是对订单的预确认,检测是否满足基金申购/赎回条件,不满足条件则打回,在T日、T+1日或T+2日基金公司确认后才代表客户基金订单的完结。
合并订单:香港或海外基金对客户的申购或赎回是有对应的金额/份额限制。以申购“贝莱德世界科技基金“为例,基金公司要求客户单笔的起投金额为1000美元,如券商提交小于1000美元的客户申购订单则会被打回,如券商想降低自己客户申购基金的门槛,则需考虑如何合并客户的基金订单和公司垫资申购的实现方式。

由于iFST没有对应的后台系统管理客户的申购/赎回资金,因此券商在构建业务后台的资金管理时,需考虑是单独做一套基金钱包,还是采用股票账户与基金账户的资金调拨方式:
基金钱包:基金钱包需依赖货币基金,而香港或海外的货币基金都有一定的成本费用,甚至赎回金额并非全部为T+0;因此在券商没有自己对接基金公司和拿到足够的优惠前,本人认为基金钱包暂不适用于基金运营初期。
资金调拨(自动出入金):申购基金为基金账户入账,股票账户出金;赎回基金为基金账户出账,股票账户入金;而实现股票账户与基金账户的资金调拨,前提条件需系统支持24小时自动出入金业务,当日或次日交收后同步至后台生成数据报表。
系统自动处理包含普通出入金、股票成交费用、IPO认购费用、基金申购/赎回:
股票成交费用以交收后为准,在每个交易日交收后生成;如客户订单进行了两次结算,则结算费按两次的费用进行扣除;
IPO认购费用包含手续费和融资利息,手续费在认购截止日的交收后生成,融资利息在公布中签日的交收后生成;
基金申购/赎回属于股票账户的自动出入金行为,基金订单被成功确认即可以生成。
人工处理包含公司行动、转股、代收服务费,业务后台需解析柜台使用的备注字段,柜台的备注字段不能随意变更,保持两边同步一致。
六、港股入金业务拓展
由于国内客户办香港银行卡的门槛越来越高,传统的入金方式已无法满足券商对于拉新的需求,在合规条件下为降低客户入金门槛或更便捷的购买港美股产品,除了开设香港银行子账户,还有一些使用到9号牌的资产管理方式。
以下是我个人近期的方案猜想,欢迎大家进行互动讨论:
1. 信托账户与证券账户(适用于解决客户出入金)

2. 跨境TRS业务(适用于解决客户购买港美股产品)
跨境TRS的全称叫做跨境收益互换,是指投顾机构在收到客户支付的预付金的前提下,分别与境内客户和境外机构进行背对背的收益互换交易,通过挂钩客户指定的在境外交易场所交易的标的资产,使境内客户在资金不出境的情况下收获境外标的资产的收益。
如券商需要做跨境TRS业务则需要两地牌照(中国大陆和香港),这对于券商的要求极高,毕竟国内券商牌照门槛可高。目前市场上主要由中金、中信、华泰、国泰君安等境内券商,以及汇丰、法巴、渣打、星展等外资行提供TRS产品服务。
跨境TRS的优势主要有三个:
本文由 @Steven 原创发布于人人都是产品经理,未经许可,禁止转载
题图来自Unsplash,基于 CC0 协议




评论